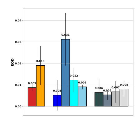
我正在使用 matplotlib 在 Python 中绘制 Barplot,目前它看起来如下所示。

简而言之,我在不同的设定(用不同的颜色表示)下测量一个称为 EOD 的量,并绘制平均值和标准差。开发。我已经完成的多次测量中每个设定的值。
问题是,这个 EOD 数量可以严格取非负值,因此 0 以下的区域具有误导性。我知道会发生这种情况,因为对于某些设定(例如蓝色设定),std. dev 大于平均值。不过,我想防止这种情况发生。
简而言之,我怎样才能将我的条停靠在边界框的底部,它应该从 0 开始?
uj5u.com热心网友回复:
ax.set_ylim(ymin=0)
做了JohanC在评论中建议的伎俩。
0 评论