拨开荷叶行,寻梦已然成。仙女莲花里,翩翩白鹭情。
IMG-LOGO
主页 文章列表 仅使用python中的边缘坐标绘制带有旋转的箭头

仅使用python中的边缘坐标绘制带有旋转的箭头

白鹭 - 2022-02-13 2485 0 0

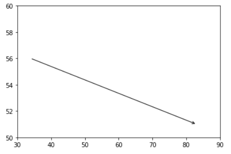
我试图在坐标之间画一个箭头,但没有成功。假设我得到了两个点。像 coord1=(34,56) 和 coord2=(83,51) 我需要在 coord1 到 coord2 之间画一个箭头,但是箭头我必须有角度。如果我只使用 pyplot 标记样式“>”,每个箭头看起来都一样,没有角度。然后我在这里找到了来自 matplotlib 的箭头指南仅使用python中的边缘坐标绘制带有旋转的箭头

标签:

0 评论

发表评论

您的电子邮件地址不会被公开。 必填的字段已做标记 *